Магазин курсов
Банк заданий
Обучение
Домашняя работа
Уроки
Календарь
База знаний
Техподдержка
Мои достижения
Регистрация
Вход
Банк заданий
ЕГЭ по профильной математике
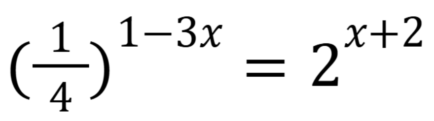
Задание 4393
Задание 4393 ЕГЭ по профильной математике
1 вопрос
КИМ №6
1 часть
№4393
КИМ №6
1 часть
Раздел: 6. Уравнения
Тема: 6. Показательные уравнения
Источник: Иван Валериевич Ященко
Найдите корень уравнения