Магазин курсов
Банк заданий
Обучение
Домашняя работа
Уроки
Календарь
База знаний
Техподдержка
Мои достижения
Регистрация
Вход
Банк заданий
ЕГЭ по профильной математике
Задание 2933
Задание 2933 ЕГЭ по профильной математике
1 вопрос
КИМ №6
1 часть
№2933
КИМ №6
1 часть
Раздел: 6. Уравнения
Тема: 6. Логарифмические уравнения
Источник: Иван Валериевич Ященко
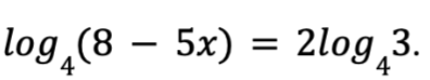
Найдите корень уравнения