Магазин курсов
Банк заданий
Обучение
Домашняя работа
Уроки
Календарь
База знаний
Техподдержка
Мои достижения
Регистрация
Вход
Банк заданий
ЕГЭ по профильной математике
Задание 2624
Задание 2624 ЕГЭ по профильной математике
1 вопрос
КИМ №7
1 часть
№2624
КИМ №7
1 часть
Раздел: 7. Вычисления и преобразования
Тема: 7. Числовые и буквенные иррациональные выражения
Источник: Задания реальных экзаменов
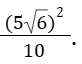
Найдите значение выражения