Задание 2335 ЕГЭ по профильной математике
КИМ №9
1 часть
Раздел: 9. Задачи прикладного характера
Тема: 9. Рациональные
Источник: Задания реальных экзаменов
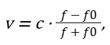
Локатор батискафа, равномерно погружающегося вертикально вниз, испускает ультразвуковой сигнал частотой 749 МГц. Приёмник регистрирует частоту сигнала, отражённого от дна океана. Скорость погружения батискафа (в м/с) и частоты связаны соотношением

где c = 1500 м/с – скорость звука в воде, f0 – частота испускаемого сигнала (в МГц), f – частота отражённого сигнала (в МГц). Найдите частоту отражённого сигнала (в МГц), если батискаф погружается со скоростью 2 м/с.
