Задание 20254 ЕГЭ по профильной математике
КИМ №8
1 часть
Раздел: 8. Производная и первообразная
Тема: 8. Геометрический смысл производной
Источник: Иван Валериевич Ященко
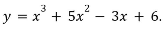
Прямая у=-6x+15 является касательной к графику функции
Найдите абсциссу точки касания.