Задание 19630 ЕГЭ по профильной математике
КИМ №18
2 часть
Раздел: 18. Задача с параметром
Тема: 18. Системы с параметром
Источник: Открытый банк заданий ФИПИ
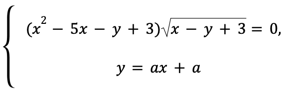
Найдите все значения a, при каждом из которых система уравнений

имеет ровно два различных решения.