Задание 19629 ЕГЭ по профильной математике
КИМ №18
2 часть
Раздел: 18. Задача с параметром
Тема: 18. Системы с параметром
Источник: Открытый банк заданий ФИПИ
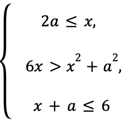
Найти все значения параметра a, при которых система неравенств

имеет хотя бы одно решение на отрезке [4;5].