Задание 16164 ЕГЭ по профильной математике
КИМ №18
2 часть
Раздел: 18. Задача с параметром
Тема: 18. Параметры с модулем
Источник: Задания реальных экзаменов
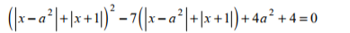
Найдите все значения a, при каждом из которых уравнение

имеет ровно два различных корня
Найдите все значения a, при каждом из которых уравнение

имеет ровно два различных корня