Задание 15770 ЕГЭ по профильной математике
КИМ №18
2 часть
Раздел: 18. Задача с параметром
Тема: 18. Уравнение окружности
Источник: Открытый банк заданий ФИПИ
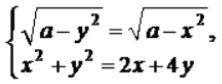
Найдите все значения а, при каждом из которых система уравнений

имеет ровно два различных решения.