Задание 15767 ЕГЭ по профильной математике
КИМ №18
2 часть
Раздел: 18. Задача с параметром
Тема: 18. Уравнение окружности
Источник: Открытый банк заданий ФИПИ
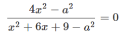
Найдите все значения a, при каждом из которых уравнение

имеет ровно два различных корня.
Найдите все значения a, при каждом из которых уравнение

имеет ровно два различных корня.