Задание 15758 ЕГЭ по профильной математике
КИМ №18
2 часть
Раздел: 18. Задача с параметром
Тема: 18. Решение в плоскости (х, а)
Источник: Открытый банк заданий ФИПИ
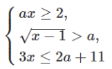
Найдите все значения a, при каждом из которых система неравенств

имеет хотя бы одно решение на отрезке [3; 4].