Магазин курсов
Банк заданий
Обучение
Домашняя работа
Уроки
Календарь
База знаний
Техподдержка
Мои достижения
Регистрация
Вход
Банк заданий
ЕГЭ по профильной математике
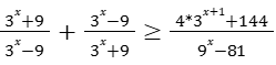
Задание 15543
Задание 15543 ЕГЭ по профильной математике
1 вопрос
КИМ №15
2 часть
№15543
КИМ №15
2 часть
Раздел: 15. Неравенства
Тема: 15. Показательные неравенства
Источник: Открытый банк заданий ФИПИ
Решите неравенство