Задание 15475 ЕГЭ по профильной математике
КИМ №13
2 часть
Раздел: 13. Уравнения второй части
Тема: 13. Уравнения смешанного типа
Источник: Открытый банк заданий ФИПИ
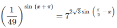
а) Решите уравнение 
б) Укажите корни этого уравнения, принадлежащие отрезку [3π; 9π/2].