Задание 14977 ЕГЭ по профильной математике
КИМ №9
1 часть
Раздел: 9. Задачи прикладного характера
Тема: 9. Логарифмические
Источник: Открытый банк заданий ФИПИ
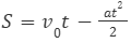
Автомобиль, движущийся со скоростью v₀=23 м/с, начал торможение с постоянным ускорением a=2 м/с². За t секунд после начала торможения он прошел путь (м). Определите время, прошедшее с момента начала торможения, если известно, что за это время автомобиль проехал 132 метра. Ответ дайте в секундах.