Задание 13674 ЕГЭ по профильной математике
КИМ №18
2 часть
Раздел: 18. Задача с параметром
Тема: 18. Системы с параметром
Источник: Иван Валериевич Ященко
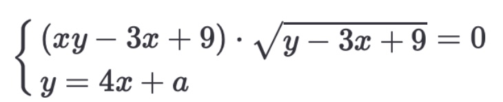
Найдите все значения a, при каждом из которых система уравнений

имеет ровно два различных решения.
-12 < a < -10; а = -9; а = 15.