Задание 13667 ЕГЭ по профильной математике
КИМ №18
2 часть
Раздел: 18. Задача с параметром
Тема: 18. Системы с параметром
Источник: Иван Валериевич Ященко
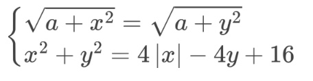
Найдите все значения a, при каждом из которых система уравнений

имеет ровно два решения.
Найдите все значения a, при каждом из которых система уравнений

имеет ровно два решения.