Магазин курсов
Банк заданий
Обучение
Домашняя работа
Уроки
Календарь
База знаний
Техподдержка
Мои достижения
Регистрация
Вход
Банк заданий
ЕГЭ по профильной математике
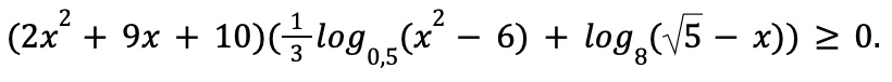
Задание 13664
Задание 13664 ЕГЭ по профильной математике
1 вопрос
КИМ №15
2 часть
№13664
КИМ №15
2 часть
Раздел: 15. Неравенства
Тема: 15. Смешанные неравенства
Источник: Иван Валериевич Ященко
Решите неравенство