Задание №13648
КИМ №13
2 часть
Раздел: 13. Уравнения второй части
Тема: 13. Тригонометрическое: разложение на множители
Источник: Иван Валериевич Ященко
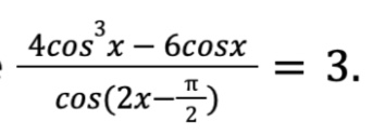
a) Решите уравнение .
б) Найдите все корни этого уравнения, принадлежащие отрезку [3п/2; 4п].
a) Решите уравнение .
б) Найдите все корни этого уравнения, принадлежащие отрезку [3п/2; 4п].