Задание 13646 ЕГЭ по профильной математике
КИМ №18
2 часть
Раздел: 18. Задача с параметром
Тема: 18. Системы с параметром
Источник: Иван Валериевич Ященко
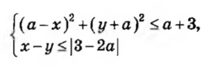
Найдите все значения а, при каждом из которых система неравенств

имеет единственное решение.
-3; 15