Задание №13641
КИМ №13
2 часть
Раздел: 13. Уравнения второй части
Тема: 13. Тригонометрическое: разложение на множители
Источник: Иван Валериевич Ященко
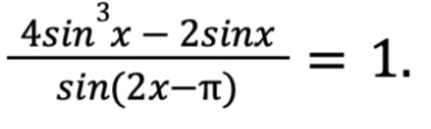
a) Решите уравнение
б) Найдите все корни этого уравнения, принадлежащие отрезку [-3п; -п/2].
a) Решите уравнение
б) Найдите все корни этого уравнения, принадлежащие отрезку [-3п; -п/2].