Магазин курсов
Банк заданий
Обучение
Домашняя работа
Уроки
Календарь
База знаний
Техподдержка
Мои достижения
Регистрация
Вход
Банк заданий
ЕГЭ по профильной математике
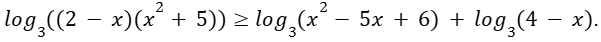
Задание 11863
Задание 11863 ЕГЭ по профильной математике
1 вопрос
КИМ №15
2 часть
№11863
КИМ №15
2 часть
Раздел: 15. Неравенства
Тема: 15. Логарифмические неравенства
Источник: Задания реальных экзаменов
Решите неравенство
[1;2)