Задание 11854 ЕГЭ по профильной математике
КИМ №13
2 часть
Раздел: 13. Уравнения второй части
Тема: 13. Тригонометрическое: разложение на множители
Источник: Задания реальных экзаменов
а) Решите уравнение 
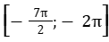
б) Укажите корни этого уравнения, принадлежащие отрезку 
а) {-π/6+2πn, π/6+2πn, πn: n∈Z}
б) -3π, -13π/6, -2π