Магазин курсов
Банк заданий
Обучение
Домашняя работа
Уроки
Календарь
База знаний
Техподдержка
Мои достижения
Регистрация
Вход
Банк заданий
ЕГЭ по профильной математике
Задание 11757
Задание 11757 ЕГЭ по профильной математике
1 вопрос
КИМ №2
1 часть
№11757
КИМ №2
1 часть
Раздел: 2. Векторы
Тема: 2. Длина вектора
Источник: Задания реальных экзаменов
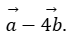
Даны векторы
(25; 0) и
(1; 5). Найдите длину вектора