Задание 11280 ЕГЭ по профильной математике
КИМ №18
2 часть
Раздел: 18. Задача с параметром
Тема: 18. Системы с параметром
Источник: Иван Валериевич Ященко
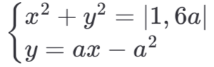
Найдите все значения α, при каждом из которых система уравнений

имеет ровно два различных решения.