Задание 18065 ЕГЭ по физике
КИМ №17
1 часть
Раздел: Квантовая и ядерная физики
Тема: Строение ядра и ядерные реакции
Источник: Открытый банк заданий ФИПИ
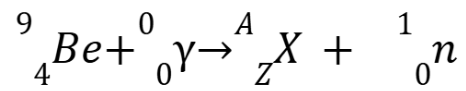
Ядро бериллия может захватить гамма-квант, в результате чего происходит ядерная реакция
с образованием ядра химического элемента AZX. Каковы заряд образовавшегося ядра Z (в единицах элементарного заряда) и его массовое число A?

Ответ запишите без пробелов.