Задание №17276
КИМ №16
1 часть
Раздел: Квантовая и ядерная физики
Тема: Строение ядра и ядерные реакции
Источник: Открытый банк заданий ФИПИ
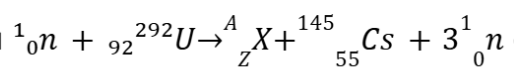
В результате реакции образуется ядро химического элемента. Каково массовое число A образовавшегося ядра?
В результате реакции образуется ядро химического элемента. Каково массовое число A образовавшегося ядра?