Задание 17045 ЕГЭ по физике
КИМ №11
1 часть
Раздел: Электродинамика
Тема: Электрический ток
Источник: Открытый банк заданий ФИПИ
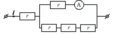
По участку электрической цепи (см. рисунок) течёт постоянный ток 𝐼=4 А. Какую силу тока показывает амперметр, если сопротивление 𝑟=1 Ом? Сопротивлением амперметра пренебречь.
