Задание 17024 ЕГЭ по физике
КИМ №11
1 часть
Раздел: Электродинамика
Тема: Электрический ток
Источник: Открытый банк заданий ФИПИ
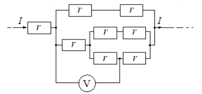
Восемь одинаковых резисторов с сопротивлением r = 1 Ом соединены в электрическую цепь, по которой течёт ток I = 8 А (см. рисунок). Какое напряжение показывает вольтметр? Вольтметр считать идеальным.
