Базовая Математика ЕГЭ - банк заданий - страница 607
Вопросы
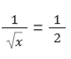
Найдите корень уравнения 
Найдите корень уравнения 
Решите уравнение 
Решите уравнение х^2+6x=0. Если уравнение имеет более одного корня, в ответе укажите меньший из них.
Найдите корень уравнения 
Имеется два сплава. Первый содержит 10 % никеля, второй — 45 % никеля. Из этих двух сплавов получили третий сплав, содержащий 35 % никеля. Масса первого сплава равна 60 кг. На сколько килограммов масса первого сплава была меньше массы второго?
Имеется два сплава. Первый содержит 50 % никеля, второй — 15 % никеля. Из этих двух сплавов получили третий сплав, содержащий 25 % никеля. Масса первого сплава равна 50 кг. На сколько килограммов масса первого сплава была меньше массы второго сплава?
Первую треть пути автомобиль ехал со скоростью 30 км/ч, вторую треть — со скоростью 80 км/ч, а последнюю — со скоростью 60 км/ч. Найдите среднюю скорость автомобиля на протяжении всего пути. Ответ дайте в км/ч.
Первые 140 км автомобиль ехал со скоростью 70 км/ч, следующие 120 км — со скоростью 80 км/ч, а затем 180 км — со скоростью 120 км/ч. Найдите среднюю скорость автомобиля на протяжении всего пути. Ответ дайте в км/ч.
Смешали 4 кг 20-процентного раствора вещества с 6 кг 35-процентного раствора этого же вещества. Сколько процентов составляет концентрация получившегося раствора?
