Банк заданий ЕГЭ по базовой математике - страница 420
Базовая математика
Вопросы
КИМ №17
1 часть
Раздел: 17. Простейшие уравнения
Тема: 17. Линейные, квадратные, кубические уравнения
Источник: Открытый банк заданий ФИПИ
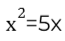
Решите уравнение 
Если уравнение имеет больше одного корня, в ответе запишите больший из них.
КИМ №17
1 часть
Раздел: 17. Простейшие уравнения
Тема: 17. Показательные уравнения
Источник: Открытый банк заданий ФИПИ
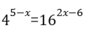
Найдите корень уравнения 
КИМ №17
1 часть
Раздел: 17. Простейшие уравнения
Тема: 17. Линейные, квадратные, кубические уравнения
Источник: Открытый банк заданий ФИПИ
Найдите корень уравнения 7−5(7−2x)=6x−4
КИМ №17
1 часть
Раздел: 17. Простейшие уравнения
Тема: 17. Линейные, квадратные, кубические уравнения
Источник: Открытый банк заданий ФИПИ
Найдите корень уравнения 6−2x=3x−10
КИМ №17
1 часть
Раздел: 17. Простейшие уравнения
Тема: 17. Показательные уравнения
Источник: Открытый банк заданий ФИПИ
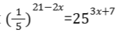
Найдите корень уравнения 
КИМ №17
1 часть
Раздел: 17. Простейшие уравнения
Тема: 17. Линейные, квадратные, кубические уравнения
Источник: Открытый банк заданий ФИПИ
Решите уравнение x2+4x−45=0
Если уравнение имеет более одного корня, в ответе укажите меньший из них
КИМ №17
1 часть
Раздел: 17. Простейшие уравнения
Тема: 17. Показательные уравнения
Источник: Открытый банк заданий ФИПИ
Найдите корень уравнения 
КИМ №17
1 часть
Раздел: 17. Простейшие уравнения
Тема: 17. Показательные уравнения
Источник: Открытый банк заданий ФИПИ
Найдите корень уравнения 
КИМ №17
1 часть
Раздел: 17. Простейшие уравнения
Тема: 17. Логарифмические уравнения
Источник: Открытый банк заданий ФИПИ
Найдите корень уравнения 
КИМ №21
1 часть
Раздел: 21. Задачи на смекалку
Тема: 21. Текстовые задачи
Источник: Открытый банк заданий ФИПИ
Саша пригласил Петю в гости, сказав, что живёт в двенадцатом подъезде в квартире № 465, а этаж сказать забыл. Подойдя к дому, Петя обнаружил, что дом пятиэтажный. На каком этаже живёт Саша? (На всех этажах число квартир одинаково, номера квартир в доме начинаются с единицы.)
