Банк заданий ЕГЭ по базовой математике - страница 305
Базовая математика
Вопросы
КИМ №16
1 часть
Раздел: 16. Вычисления и преобразования
Тема: 16. Вычисление значений тригонометрических выражений
Источник: Открытый банк заданий ФИПИ
Найдите значение выражения 3√3tg1140°
КИМ №16
1 часть
Раздел: 16. Вычисления и преобразования
Тема: 16. Действия со степенями
Источник: Открытый банк заданий ФИПИ
Найдите значение выражения 
КИМ №16
1 часть
Раздел: 16. Вычисления и преобразования
Тема: 16. Действия со степенями
Источник: Открытый банк заданий ФИПИ
Найдите значение выражения 3,4⋅10²+1,8⋅10³
КИМ №16
1 часть
Раздел: 16. Вычисления и преобразования
Тема: 16. Действия со степенями
Источник: Открытый банк заданий ФИПИ
Найдите значение выражения 
КИМ №16
1 часть
Раздел: 16. Вычисления и преобразования
Тема: 16. Преобразования числовых иррациональных выражений
Источник: Открытый банк заданий ФИПИ
Найдите значение выражения 
КИМ №16
1 часть
Раздел: 16. Вычисления и преобразования
Тема: 16. Преобразования числовых иррациональных выражений
Источник: Открытый банк заданий ФИПИ
Найдите значение выражения 
КИМ №16
1 часть
Раздел: 16. Вычисления и преобразования
Тема: 16. Преобразования числовых логарифмических выражений
Источник: Открытый банк заданий ФИПИ
Найдите значение выражения log₃1,8+log₃5
КИМ №16
1 часть
Раздел: 16. Вычисления и преобразования
Тема: 16. Преобразования числовых иррациональных выражений
Источник: Открытый банк заданий ФИПИ
Найдите значение выражения 
КИМ №16
1 часть
Раздел: 16. Вычисления и преобразования
Тема: 16. Вычисление значений тригонометрических выражений
Источник: Открытый банк заданий ФИПИ
Найдите значение выражения 
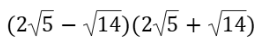
КИМ №16
1 часть
Раздел: 16. Вычисления и преобразования
Тема: 16. Преобразования числовых иррациональных выражений
Источник: Открытый банк заданий ФИПИ
Найдите значение выражения 
