Банк заданий ЕГЭ по базовой математике - страница 261
Базовая математика
Вопросы
КИМ №14
1 часть
Раздел: 14. Вычисления
Тема: 14. Действия с десятичными дробями
Источник: Открытый банк заданий ФИПИ
Найдите значение выражения 6,4⋅8,5+0,8
КИМ №14
1 часть
Раздел: 14. Вычисления
Тема: 14. Действия с обыкновенными дробями
Источник: Открытый банк заданий ФИПИ
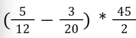
Найдите значение выражения 
КИМ №14
1 часть
Раздел: 14. Вычисления
Тема: 14. Действия с обыкновенными дробями
Источник: Открытый банк заданий ФИПИ
Найдите значение выражения 
КИМ №14
1 часть
Раздел: 14. Вычисления
Тема: 14. Действия с десятичными дробями
Источник: Открытый банк заданий ФИПИ
Найдите значение выражения 1,32:1,2−0,8
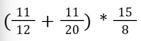
КИМ №14
1 часть
Раздел: 14. Вычисления
Тема: 14. Действия с обыкновенными дробями
Источник: Открытый банк заданий ФИПИ
Найдите значение выражения 
КИМ №14
1 часть
Раздел: 14. Вычисления
Тема: 14. Разные задачи
Источник: Открытый банк заданий ФИПИ
Найдите значение выражения 
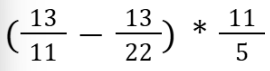
КИМ №14
1 часть
Раздел: 14. Вычисления
Тема: 14. Действия с обыкновенными дробями
Источник: Открытый банк заданий ФИПИ
Найдите значение выражения 
КИМ №14
1 часть
Раздел: 14. Вычисления
Тема: 14. Разные задачи
Источник: Открытый банк заданий ФИПИ
Найдите значение выражения 
КИМ №14
1 часть
Раздел: 14. Вычисления
Тема: 14. Действия с обыкновенными дробями
Источник: Открытый банк заданий ФИПИ
Найдите значение выражения 
КИМ №14
1 часть
Раздел: 14. Вычисления
Тема: 14. Действия с обыкновенными дробями
Источник: Открытый банк заданий ФИПИ
Найдите значение выражения 
