Базовая Математика ЕГЭ - банк заданий - страница 107
Вопросы
На диаграмме показана среднемесячная температура воздуха в Петрозаводске за каждый месяц 1976 года. По горизонтали указаны месяцы, по вертикали — температура в градусах Цельсия.

Определите по диаграмме наименьшую среднемесячную температуру в Петрозаводске во второй половине 1976 года. Ответ дайте в градусах Цельсия.
На диаграмме показана среднемесячная температура воздуха в Екатеринбурге (Свердловске) за каждый месяц 1973 года. По горизонтали указаны месяцы, по вертикали — температура в градусах Цельсия.

Определите по диаграмме наибольшую среднемесячную температуру в Екатеринбурге (Свердловске) во второй половине 1973 года. Ответ дайте в градусах Цельсия.
На графике изображена зависимость атмосферного давления от высоты над уровнем моря. На горизонтальной оси отмечена высота над уровнем моря в километрах, на вертикальной — давление в миллиметрах ртутного столба.

Определите по графику, чему равно атмосферное давление на высоте 8,5 км. Ответ дайте в миллиметрах ртутного столба.
На рисунке жирными точками показано суточное количество осадков, выпадавших в Мурманске с 7 по 22 ноября 1995 года. По горизонтали указаны числа месяца, по вертикали — количество осадков, выпавших в соответствующий день, в миллиметрах. Для наглядности жирные точки на рисунке соединены линиями.

Определите по рисунку наибольшее суточное количество осадков в Мурманске за данный период. Ответ дайте в миллиметрах.
На графике изображена зависимость атмосферного давления от высоты над уровнем моря. На горизонтальной оси отмечена высота над уровнем моря в километрах, на вертикальной — давление в миллиметрах ртутного столба.

Определите по графику, чему равно атмосферное давление на высоте 8 км. Ответ дайте в миллиметрах ртутного столба.
На рисунке жирными точками показан курс австрийского шиллинга, установленный Центробанком РФ во все рабочие дни в январе 1999 года.
По горизонтали указываются числа месяца, по вертикали — цена австрийского шиллинга в рублях. Для наглядности жирные точки на рисунке соединены линиями.

Определите по рисунку наибольший курс австрийского шиллинга за данный период. Ответ дайте в рублях.
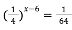
Найдите корень уравнения 
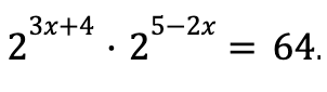
Решите уравнение 
Найдите корень уравнения 8(6+x) + 2х = 8
Найдите корень уравнения 
